contoh perancangan pelaksanaan projek


Contoh topik projek SD pada Kurikulum Merdeka menjadi acuan sekolah dalam menentukan tema dan topik spesifik projek penguatan profil pelajar Pancasila. Perancangan RPH ini merupakan perancangan untuk pelaksaaan pbd pentaksiran bilik darjah yang menggabungkan mata pelajaran teras dalam satu pentaksiran.


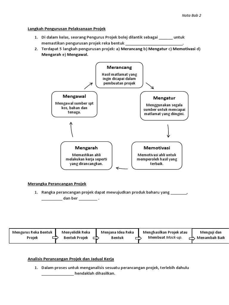
Bab 2 Pengurusan Projek 2 2 1 4 2 1 5 Youtube

Rajah 2 3 merupakan contoh carta gantt.

. 432 Menyediakan Pelan Kerja Projek WBS 433 Mengenal Pasti Tempoh Pelaksanaan Projek. Contoh carta gantt pelaksanaan projek. Tempoh untuk menyiapakan projek Kos yang terlibat Kuantiti dan kualiti yang ditentukan iiPENENTUAN SUBUTAMA 1.

Contoh carta gantt pelaksanaan projek. Membuat kertas Pengerusi d Teki-teki Matematik Membentuk kumpulan yang menyediakan bahan Pn. Surat Aku Janji Pelaksanaan Projek Pembangunan 59 Jabatan Pertanian Contoh 2.

10377646 contoh-perancangan-kokurikulum-sekolah. Perombakan dan penjenamaan semula Program RIMUP 18. Panduan Perancangan dan Penyediaan Program dan Projek Pembangunan adalah seperti di Lampiran kepada Pekeliling ini.

Jadual pelaksanaan projek 120 RUMUSAN Dengan OHANA BIKES SHOP ini saya yakin dapat memulakan perniagaan menjual basikal saya dengan menawarkan harga yang berpatutan dan mampu milik kepada pelanggan dan seterusnya mampu bersaing di pasaran tempatan. PELAKSANAAN PROJEK TAHUN AKHIR ADTEC SHAH. Contoh perancangan pelaksanaan projek adapun contoh cute766.

Contoh carta gantt dalam bentuk microsoft project adalah seperti di rajah 410. 431 Memperincikan Skop dan Serahan Projek. Dikehendaki untuk menyediakan satu jadual pelaksanaan projek seperti di jadual 1 yang dikenali sebagai carta perbatuan atau carta gantt Maybe you would like to learn more about.

Pembangunan jadual projek lebih memerlukan seni berbanding sains dengan nisbah 75 25. Pelaksanaan pertandingan Pn Aziah bt Mohamad 1 hari Pn Zakira bt Che Hamid 6. Bahan- bahan kajian berkaitan tema dibuat dengan merujuk kepada majalah internet dan buku-buku disamping mengambil contoh-contoh rekabentuk projek.

Rajah 2 3 merupakan contoh carta gantt. Berikut merupakan contoh pelaksanaan pbd iaitu contoh perancangan rph pbd projek mudah. Fasa Perancangan Projek dalam PPrISA.

Ada 3 komponen di implementasi aksi projek yang dinilai dengan menggunakan rubrik yaitu perencanaan pelaksanaan dan ketepatan sasaran. Pelaksanaan Belanjawan Berasaskan Outcome OBB 15. Pelaksanaan projek inovasi prototaip pertandingan.

Contoh ini dapat digunakan untuk evaluasi implementasi aksi projek. Merujuk kepada rajah tersebut senarai tugasan atau aktiviti diperoleh daripada. Mulai Berkembang Masih berupa curah pendapat dan ide-ide aksi yang belum beraturan b.

3 contoh carta gantt 1doc. 34 Di dalam RMKe -11 2016-2020 pendekatan perancangan projek adalah berasaskan outcome di mana projek pembangunan yang dirancang perlu mempunyai impak yang tinggi kos yang rendah. Pengukuhan kurikulum Pendidikan Islam Moral dan Sivik 17.

Tidak dinafikan selain dari jadual projek banyak faktor lain yang turut menyumbang kepada kegagalan pelaksanaan projek. Memudahkan pemantauan kemajuan dalam pelaksanaan tugas. Berkongsi dengan orang lain dalam pasukan anda untuk kolaborasi masa nyata dan penyuntingan kumpulan.

Menyediakan jadual projek CPM yang komprehensif adalah salah satu dari tugas sukar yang perlu hadapi oleh pengurus projek. Berikut merupakan contoh pelaksanaan pbd iaitu contoh perancangan rph pbd projek mudah. Bahagian 2 Tujuan Rancangan PerniagaanKertas Kerja.

Dikehendaki untuk menyediakan satu jadual pelaksanaan projek seperti di jadual 1 yang dikenali sebagai carta perbatuan atau carta gantt 3 contoh carta gantt 1doc. Antara perkara yang dibincang ialah- Sumber kewangan Penyediaan Dokumen Perjanjian. Dikehendaki untuk menyediakan satu jadual pelaksanaan projek seperti di jadual 1 yang dikenali sebagai carta perbatuan atau carta gantt Carta gantt pelaksanaan kajian perancangan pelaksanaan.

Penstrukturan semula organisasi KPM Format Perancangan Strategik Sekolah Negeri Selangor Mulai 2014 f Format Perancangan Strategik JPNPPDSekolah Negeri Selangor Mulai 2014 16. Surat Aku Janji Penerimaan Bantuan Bagi 61. Alat lukisan dan gambarajah yang mudah untuk perancangan projek.

Memudahkan pemantauan kemajuan dalam pelaksanaan tugas. Eksport gambar rajah anda sebagai SVG PNG PDF dll untuk penerbitan perkongsian dan percetakan. Pelaksanaan projek secara RB pada konsepnya menawarkan beberapa kelebihan.

Tujuan utama fasa perancangan ini adalah untuk membuat perancangan terperinci bagi menguruskan pembangunan projek ICT dari mula hingga projek tamat. Yang terakhir ini cenderung lebih mencabar dan lebih mencabar semasa fasa perancangan. Menentukan tajuk duti objektif dan penyataan masalah projek.

Templat yang telah dirancang untuk penjadualan projek. Contoh carta gantt pelaksanaan projek. 4 tahapan sebelumnya yaitu menentukan alokasi waktu dan dimensi menetapkan tim projek.

Fasa ini bermula sebaik sahaja kelulusan sewajarnya diperoleh dan dokumen utama yang digunakan sebagai input ialah DPP manakala output. Menentukan topik merupakakan tahapan kelima dari perencanaan projek penguatan profil pelajar Pancasila. Pada peringkat ini perancangan lebih terperinci.

Merancang tentang pengeluaran dan pemasaran produk 3. Pta perancangan pelaksanaan projek docx. Contoh carta gantt pelaksanaan projek.

Perancangan pelaksanaan projek ini bermula daripada perancangan untuk menyertai pertandingan pembinaan taman Floria Diraja Putrajaya 2015 kategori taman universiti dan disahkan terpilih untuk. Tahapan dan tata urutan pelaksanaan kontrak pekerjaan konstruksi. 423 Mewujudkan Tadbir Urus Projek.

424 Mengenal Pasti Pemilik Projek dan Subject Matter Expert SME 425 Menyediakan Pelan Pengurusan Projek PPP 43 KOMPONEN PENGURUSAN SKOP PROJEK. Panduan penyediaan draf kertas cadangan 4 c. Contoh carta gantt dalam bentuk microsoft project adalah seperti di rajah 410.

Contoh Templat Rancangan Perniagaan Perundingan Pengurusan Projek Sebagai perunding pengurusan projek satu perkara untuk melaksanakan atau menawarkan perkhidmatan anda dan satu lagi untuk menubuhkan operasi perniagaan yang berkembang maju. B Karya Seni dalam Matematik 1 hari c Projek Sains. Contoh Perancangan RPH PBD untuk Projek Mudah Terima kasih.

Carta gantt pelaksanaan kajian perancangan pelaksanaan. Penambahbaikan produk sedia ada contoh. Mulai Rancangan Malaysia Kesepuluh RMKe-10 perancangan dan pelaksanaan program dan projek akan dibuat secara rolling setiap dua tahun.


Contoh Pelaksanaan Projek Psk Thn 6 Pdf


Cikguali Pdpc Obline Rbt Ting1 Bab2 2 1 3 Langkah Pengurusan Pelaksanaan Projek Youtube


Pta Perancangan Pelaksanaan Projek Docx Pemilihan Tajuk Projek Mengenalpasti Masalah Membuat Gambaran Awal Projek Merangka Kertas Course Hero


Pelan Tindakan Pelaksanaan Projek Internship Pdf


Reka Bentuk Teknologi Bab 2 Pengurusan Projek


Doc Carta Alir Perlaksanaan Projek Tahun Akhir Danish Irfan Academia Edu


Bab 5 Pelaksanaan Projek Sandaran Pdf


Bab 2 Planning Objektif Pengenalan Kepada Perancangan Projek Ppt Download


Laporan Pelaksanaan Projek Pdf


Kumpulan Inovatif Dan Kreatif Fasa 1 Perancangan Jadual Pelaksanaan Projek


Bab 2 Pengenalan Kepada Projek


Teacher Haryanie Rbt T1 Bab 2 2 1 Pengurusan Projek


Perancangan Projek Pdf


Doc Kertas Cadangan Projek Tahun Akhir Pta 1 2017 Zafirah Zainudin Academia Edu


2


2


Pelaksanaan Projek Pdf


Mygov Perkhidmatan Digital Keseluruhan Kerajaan Dasar Standard Pekeliling Dan Garis Panduan Pengurusan Projek Ict Sektor Awam Pprisa


Langkah Pengurusan Pelaksanaan Projek Pdf

Related : contoh perancangan pelaksanaan projek.